Background:
Recurrent ischemic priapism is a common complication of sickle cell anemia (SCA) with devastating sequelae of sexual dysfunction, reported at least once in 33% of men, with no evidence-based preventive treatment. Pre-clinical and observational studies with inadequate power have shown the potential benefits of phosphodiesterase-5 (PDE-5) inhibitors in preventing future priapism in transgenic mouse models and humans. Therefore, we hypothesized that a trial of PDE-5 inhibitor (tadalafil) for the prevention of priapism in men with SCA would be feasible, with an acceptable safety profile.
Methods:
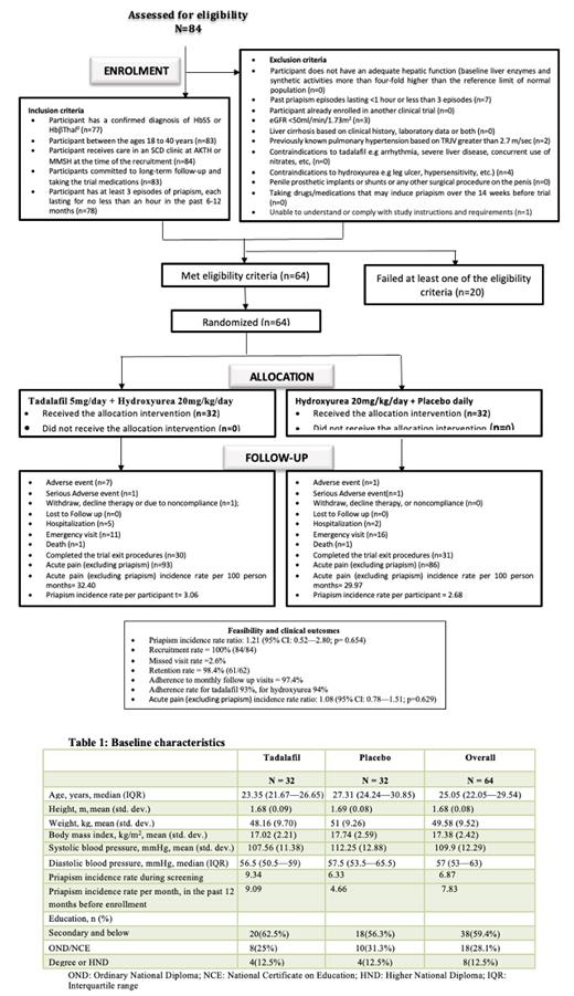
We conducted a randomized, controlled, double-blind phase 2 feasibility trial to assess the composite primary outcome of recruitment, retention, and adherence rates of at least 75%. With a sample size of ³30 and an observed compliance rate of 83% and higher, we would obtain a lower bound of 75.6% or greater (above our lowest acceptable rate of 75% recruitment, retention, and adherence) using the Clopper-Pearson formula. The clinical outcomes were priapism rate (person-month), priapism pain intensity (1-5 Likert scale), priapism duration (minutes), and hospitalization for pain. The trial included men with SCA aged 18 to 40 years who had experienced a minimum of three priapism episodes, each lasting at least an hour, in the past 12 months, Figure 1. After satisfying the eligibility criteria and signing informed consent, the participants passed through a screening phase (2-4 weeks) and were subsequently randomized 1:1 into a treatment arm (tadalafil 5mg/day and hydroxyurea 20mg/kg/day) and standard care/placebo arm (hydroxyurea 20mg/kg/day and placebo). The treatment phase lasted 4 to 12 months, with priapism episodes tracked by: 1) daily text messages to each participant and 2) a paper diary to complement the daily text messages. The data was analyzed based on the intention to treat using negative binomial regression. The trial was approved by the IRB of Vanderbilt University Medical Center and Aminu Kano Teaching Hospital. The protocol was registered with Clinicaltrials.gov (NCT05142254) and PACTR (PACTR202105561969346).
Results:
The trial opened on 13th April 2022 and was stopped by the Data Safety and Monitoring Board on 12th June 2023 due to futility, based on the data as of 27 th February 2023. All 84 men approached for the trial consented to screening (100% recruitment rate), but only 64 (76.2%) met the eligibility criteria and were randomized, Figure 1. Thirty-two participants received the treatment in each arm. One participant was dropped by the investigator for non-compliance. Two participants (one in each arm) died before the trial completion (but none of the deaths was related to the investigational drugs), and 61 completed the trial (30 in the tadalafil arm and 31 in the placebo arm) The median age was 27.2 years and 23.3 years in the tadalafil and placebo arm, respectively, Table 1. The trial's retention rate and compliance rate to monthly visits were 98.6% and 97.4%, respectively. Based on pill count, the adherence rates to taladafil and hydroxyurea were 93% and 94%, respectively. The rates of priapism during the trial treatment period per month were 3.1 and 2.7 in the tadalafil and placebo arms, respectively; the incidence rate ratio (IRR) was 1.21 (95% CI: 0.52-2.80; p= 0.654). Serious adverse events, acute pain rate, hospitalizations, and emergency visits were not significantly different between the two arms.
Conclusions:
Our phase 2 trial's primary outcome results (recruitment, retention, and adherence rates) strongly support the feasibility of conducting a definitive phase RCT phase 3 trial for secondary priapism prevention in a low-resource setting where 50% of the global SCA births are located. Although not the primary intent of the phase 2 trial, we did not provide evidence that tadalafil with hydroxyurea was superior to hydroxyurea alone for secondary priapism prevention. We will continue to recommend a fixed dose of 20 mg/kg/day hydroxyurea therapy for secondary priapism prevention.
OffLabel Disclosure:
Idris:Agios: Other: Member of the Rise Up Trial Clinical Advisory Committee. Burnett:Novartis Pharmaceuticals Corporation: Other: Study Steering Committee member. DeBaun:Novartis, Forma, Vertex: Consultancy, Other: Consulting.
Tadalafil is a phosphodiesterase type 5 inhibitor, which we hypothesized would reduce the rate of priapism in sickle cell disease.
